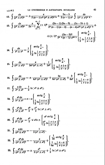
Книга: Интегралы и ряды элемнтарные функции (1981)
Книга содержит неопределенные и определенные интегралы, суммы и ряды, не вошедшие в предыдущие два справочника “Интегралы и ряды. Элементарные функции” и “Интегралы и ряды. Специальные функции”, опубликованные в издательстве “Наука” в 1981 - 1983 гг. Приведены таблицы представлений обобщенных гипергеометрических функций, б-функции Менера и их преобразований Меллина. Помещены разделы, посвященные свойствам гипергеометрических функций, б-функции Мейера и H-функции Фокса. Значительная часть результатов получена авторами и публикуется впервые. В совокупности три книги серии “Интегралы и ряды” по охвату материала и плотности информации значительно перекрывают все существующие ныне справочники в этой области математического анализа.
Книга предназначена для широкого круга специалистов в различных областях науки и техники, а также для студентов высших учебных заведений.
Информация о документе
- Формат документа
- Кол-во страниц
- 45 страниц
- Загрузил(а)
- Лицензия
- —
- Доступ
- Всем
Информация о книге
- Издательство
- ИЗДАТЕЛЬСТВО НАУКА
- Год публикации
- 1981
- Каталог SCI
- Математика
Статистика просмотров
Статистика просмотров книги за 2025 год.